
熱敏電阻溫度采集簡述
一. 總體說明
本簡述是說明 NTC 熱敏電阻器對溫度的測量。熱敏電阻器把溫度的變化轉換為電阻阻值的變化, 再應用相應的測量電路把阻值的變化轉換為電壓的變化;然后通過芯片或處理電路,可以把模擬的電壓值轉換為數字信號,對數值信號進行處理可以得到相應的溫度值。也就音特公司常提到的模數轉換.
1.1 熱敏電阻器
熱敏電阻有電阻值隨溫度升高而升高的正溫度系數
PositiveTemperatureCoefficient 簡稱 PTC
熱敏電阻有電阻值隨溫度升高而降低的負溫度系數
Negative Temperature Coefficient 簡稱 NTC 熱敏電阻。
NTC 熱敏電阻器,是一種以過渡金屬氧化物為主要原材料,采用電子陶瓷工藝制成的熱敏半導體陶瓷組件。這種組件的電阻值隨溫度升高而降低,利用這一特性可制成測溫、溫度補償和控溫組件,又可以制成功率型組件,抑制電路的浪涌電流。
電阻溫度特性可以近似地用下式來表示:

式中:RT、RN分別表示NTC在溫度T(K)和額定額定溫度TN (K)下的電阻值,單位?,T、TN 為溫度, 單位K(TN(k)=273.15+TN(℃))。B,稱作B值,NTC熱敏電阻特定的材料常數(Beta)。由于B值 同樣是隨溫度而變化的,因此NTC熱敏電阻的實際特性,只能粗略地用指數關系來描述,所以這種方法只能以一定的精度來描述額定溫度或電阻值附近的有限的范圍。但是在實際應用中,要求有比較精確的 R-T 曲線。要用比較復雜的方法(例如用 The Steinhart-Hart 方程),或者用表格的形式來給定電阻/溫度關系。
下表是選用 NTC熱敏電阻器 MF52-502F3950B,基于精確的R-T 曲線,來對溫度進行精確的測量。
1.2 電阻-溫度關系
如表A1 所示,NTC 熱敏電阻器 MF52-502F3950B 各溫度點的電阻值,即電阻-溫度關系表。從提供的電阻-溫度關系表中可以 看出 NTC 熱敏電阻器MF52-502F3950B的測溫范圍為 [-55℃,125℃],其電阻值的變化范圍為[250062Ω,242.64Ω]。
表A1MF52-502F3950B所示:
|
溫度(℃) |
電阻值(Ω) |
溫度(℃) |
電阻值(Ω) |
溫度(℃) |
電阻值(Ω) |
|
-55 |
250062 |
-54 |
237404 |
-53 |
225239 |
|
-52 |
213575 |
-51 |
202412 |
-50 |
191750 |
|
-49 |
181580 |
-48 |
171895 |
-47 |
162684 |
|
-46 |
153933 |
-45 |
145638 |
-44 |
137753 |
|
-43 |
130293 |
-42 |
123231 |
-41 |
116550 |
|
-40 |
110232 |
-39 |
104261 |
-38 |
98621.7 |
|
-37 |
93295.5 |
-36 |
88267.4 |
-35 |
83521.8 |
|
-34 |
79043.9 |
-33 |
74819.2 |
-32 |
70833.9 |
|
-31 |
67074.7 |
-30 |
63529 |
-29 |
60184.6 |
|
-28 |
57030.2 |
-27 |
54054.7 |
-26 |
51247.9 |
|
-25 |
48600 |
-24 |
46101.6 |
-23 |
43744 |
|
-22 |
41519 |
-21 |
39418.8 |
-20 |
37435.9 |
|
-19 |
35563.5 |
-18 |
33795 |
-17 |
32124.4 |
|
-16 |
30545.8 |
-15 |
29053.8 |
-14 |
27643.3 |
|
-13 |
26309.5 |
-12 |
25047.9 |
-11 |
23854.2 |
|
-10 |
22724.6 |
-9 |
21655.3 |
-8 |
20642.7 |
|
-7 |
19683.6 |
-6 |
18774.9 |
-5 |
17913.6 |
|
-4 |
17097.1 |
-3 |
16332.9 |
-2 |
15588.4 |
|
-1 |
14891.5 |
0 |
14230 |
1 |
13601.9 |
|
2 |
13005.4 |
3 |
12438.7 |
4 |
11900.1 |
|
5 |
11388.2 |
6 |
10901.3 |
7 |
10438.3 |
|
8 |
9997.74 |
9 |
9578.41 |
10 |
9181 |
|
11 |
8799 |
12 |
8436.83 |
13 |
8091.73 |
|
14 |
7762.78 |
15 |
7449.16 |
16 |
7150.04 |
|
17 |
6864.7 |
18 |
6592.4 |
19 |
6332.49 |
|
20 |
6084.32 |
21 |
5847.31 |
22 |
5620.89 |
|
23 |
5404.53 |
24 |
5197.72 |
25 |
5000 |
|
26 |
4810.9 |
27 |
4630.01 |
28 |
4456.93 |
|
29 |
4291.28 |
30 |
4132.69 |
31 |
3980.83 |
|
32 |
3835.38 |
33 |
3696.03 |
34 |
3562.49 |
|
35 |
3434.5 |
36 |
3311.78 |
37 |
3194.1 |
|
38 |
3081.22 |
39 |
2972.92 |
40 |
2869 |
|
41 |
2769.24 |
42 |
2673.47 |
43 |
2581.5 |
|
44 |
2493.17 |
45 |
2408.3 |
46 |
2326.76 |
|
47 |
2248.38 |
48 |
2173.04 |
49 |
2100.6 |
|
50 |
2032 |
51 |
1963.92 |
52 |
1899.44 |
|
53 |
1837.4 |
54 |
1777.68 |
55 |
1720.2 |
|
56 |
1664.85 |
57 |
1611.54 |
58 |
1560.2 |
|
59 |
1510.74 |
60 |
1463.08 |
61 |
1417.14 |
|
62 |
1372.87 |
63 |
1330.18 |
64 |
1289.02 |
|
65 |
1249.32 |
66 |
1211.03 |
67 |
1174.09 |
|
溫度(℃) |
電阻值(Ω) |
溫度(℃) |
電阻值(Ω) |
溫度(℃) |
電阻值(Ω) |
|
68 |
1138.44 |
69 |
1104.04 |
70 |
1070.83 |
|
71 |
1038.78 |
72 |
1007.82 |
73 |
977.93 |
|
74 |
949.06 |
75 |
921.17 |
76 |
894.22 |
|
77 |
868.18 |
78 |
843.02 |
79 |
818.69 |
|
80 |
795.17 |
81 |
772.43 |
82 |
750.44 |
|
83 |
729.17 |
84 |
708.6 |
85 |
688.7 |
|
86 |
669.44 |
87 |
650.8 |
88 |
632.76 |
|
89 |
615.3 |
90 |
598.39 |
91 |
582.02 |
|
92 |
566.17 |
93 |
550.81 |
94 |
535.94 |
|
95 |
521.53 |
96 |
507.57 |
97 |
494.05 |
|
98 |
480.94 |
99 |
468.23 |
100 |
453.3 |
|
101 |
443.97 |
102 |
432.38 |
103 |
421.15 |
|
104 |
410.26 |
105 |
399.69 |
106 |
389.44 |
|
107 |
379.5 |
108 |
369.85 |
109 |
360.48 |
|
110 |
351.4 |
111 |
342.57 |
112 |
334.01 |
|
113 |
325.69 |
114 |
317.62 |
115 |
309.77 |
|
116 |
302.16 |
117 |
294.76 |
118 |
287.57 |
|
119 |
280.59 |
120 |
273.8 |
121 |
267.21 |
|
122 |
260.8 |
123 |
254.58 |
124 |
248.52 |
|
125 |
242.64 |
|
|
|
|
1.3 數值處理
通過表 A1 電阻-溫度關系表可以很直觀的看到電阻的變化范圍從 242.64Ω到 250062Ω, 在-55℃的時候其表現出的電阻值是 125℃時所表現的電阻值的 1030 倍,這么大的變化范圍也為模數轉換測量帶來了困難。
測量電路如下圖所示。
如上圖所示 NTC 熱敏電阻 Rv 和測量電阻 Rm(精密電阻)組成一個簡單的串聯分壓電路,參考電壓VCC_Ref 經過分壓可以得到一個電壓值隨著溫度值變化而變化的數值,這個電壓的大小將反映出NTC 電阻的大小,從而也就是相應溫度值的反映。 通過歐姆定律可以得到輸出電壓值 Vadc 和 NTC 電阻值的一個關系
表達式1:

那么接下來的數據處理將基于式上式展開:查出處理芯片也稱模數轉換器 ADC 的精度,其參考電壓為 5V,因此這里可以選擇 Vref=5V。各溫度點對應的 ADC 轉換后的數字量可以計算。
表達式2.
Dadc = 1024*Vadc/5V
結合表達式1和表達式2,可以得出表達式3:
Dadc = 1024*Rm/(Rv+Rm)
如果這里取 測量電阻Rm 選擇4.7KΩ,那么可以計算出
在- 55℃時 所對應的 Dadc = 1024*1000/(250062+1000) = 4;
在 125℃時 所對應的 Dadc= 1024*1000/(242.64+1000)= 824。
根據這樣的對應關系對數據進行預處理,得到如下處理結果如下數據所示:
tatic const Int16 NTCTAB2[181] =
{
19,20,21,22,23,24,26,27,29,30,32,34,
36,38,40,42,44,47,49,52,55,57,61,64,
67,71,74,78,82,86,90,95,99,104,109,114,
120,150,156,161,168,172,180,187,194,201,208,215,
222,230,238,247,255,264,272,280,291,302,310,319,
328,338,347,357,367,376,384,395,405,414,424,434,
444,453,464,474,484,494,502,512,522,531,540,551,
560,569,579,586,595,604,613,624,633,642,650,658,
666,673,680,688,696,704,712,719,726,733,741,749,
755,760,767,774,780,785,791,798,804,811,816,821,
827,832,837,842,847,851,856,862,868,873,856,860,
864,868,872,876,879,883,886,890,893,896,899,902,
905,908,911,914,917,919,922,924,927,929,931,934,
936,938,940,942,944,946,947,949,951,953,954,956,
958,959,961,962,964,965,966,968,969,970,971,973,
974
};//4.7K
重要說明:
這個表格是應用中所需要的一個很重要的轉換表,這一部分是事先制作好的表格,將為接下來的處理提供參考依據。測量電阻 Rm 的選取是有一定的規律的,在實際的應用中不一定都需要測量全程溫度,可以估算出大致的溫度范圍。本著提高測量精度的宗旨:如果是應用在測量低溫的系統中建議 Rm 選擇較大 的電阻(10KΩ),如果在測量較高溫的系統中建議 Rm 選擇較小的電阻(1KΩ)等。
1.4 線性插值
在 ADC 進行數據采集的過程中不可能每一個數值都在整溫度所對應的 ADC 數值上,所以如果在 兩個數據的中間一段就要對其進行進一步的精確定位。這樣就必須知道采集到的數據在數據表中的 具體位置,因此要對數據表進行搜索、查找。線性表的查找(也稱檢索),可以有比較常見的順序查 找、折半查找及分塊查找等方法,分析線性數據表可以得到折半查找的算法是比較高效的。
例如:如果 ADC 采樣的數值為 Dadc = 360,即 357
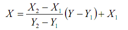
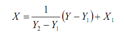
已知點(X1,Y1)和點(X2,Y2)求(Xi,Yi)。 由兩點可以得到直線L 的方程

點(X1,Y1)和點(X2,Y2)為相鄰兩溫度點,所以 X2-X1=1 那么由式上式可得:


這樣通過 ADC 采樣來的 Dadc(Y1)數值帶入式X上式中,可以求得相應的溫度值。 插值計算出來的數值肯定是小數,那幺需要對數值進行特殊的處理:基于定點計算的思想,把
數據首先規格化,把小數點定在第六位即計算數值放大 64 倍參與計算,當然在計算后的溫度數據也 應該是真實數值的 64 倍,所以需要 X/64 得到的數值為實際測量到的溫度值。把小數點定的位數越 高表示的精度越高。
這樣的插值計算實際上是分段的,用直線段來模擬溫度曲線,因此在處理的過程中分段越細致擬和的曲線就越接近實際溫度曲線。
二. 軟件部份 (本司不做詳細說明)
應用例程序部分主要針對 NTC 熱敏電阻測量溫度的應用,其中最主要的是使用 ADC 模塊對信號的采集和處理,從而得到溫度數值。
三. 硬件原理圖
硬件原理圖,如下圖 所示。顯示部分電路原理圖為示意圖。
音特電子研發組